รูปแบบการคำนวณสำหรับกิ่งการตัดสินใจ

การสร้างกิ่งการตัดสินใจ เป็นการนิยามขอบเขตของปัญหา หรือการสร้างกิ่งที่เป็นไปได้ แต่ทางเลือกในการคำนวณหรือเส้นทางที่จะคิดคำนวณคงต้องหาทางตามสภาพความเหมาะสมของปัญหา

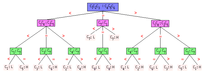
ปัญหาเหรียญ 8 เหรียญ   เหรียญ 8 เหรียญ มีลักษณะภายนอกเหมือนกัน แต่ในจำนวนนี้มีเหรียญหนึ่ง ที่มีความแตกต่างในเรื่องน้ำหนัก ซึ่งอาจจะหนักกว่าหรือเบากว่า โดยที่ถ้าดูจากภายนอกจะไม่รู้ ในการตรวจสอบจะใช้ตาชั่ง การหาเหรียญแปลกนี้คงต้องใช้ตาชั่ง และ สร้างปัญหานี้ให้เป็นกิ่งการตัดสินใจ

ในที่นี้สมมุติ มีเหรียญ 8 เหรียญ ที่ใช้ C1 C2 . . . C8 แทนเหรียญทั้งแปด การเปรียบเทียบ คงทำได้ดังนี้

การสร้างกิ่งการตัดสินใจนี้ เป็นหนทางของการสร้างระบบเพื่อแก้ปัญหาและหาทางที่จะเข้าถึงคำตอบให้ได้เร็วและดีที่สุด

การเข้าถึงจากจุดยอดของโครงสร้างต้นไม้ (tree) นี้ มีวิธีการได้หลายทาง หนทางการเข้าถึงโดยเริ่มจากโหนดยอดสุด ไปยังเป้าหมายทาง เราเรียกขบวนการนี้ว่า การท่องไปในกิ่งต้นไม้ ซึ่งเทียบไดกับการค้นหา (research) เพื่อหาคำตอบ แน่นอนว่าขอบเขตของต้นไม้จึงเป็นขอบเขตของปัญหาที่เป็นไปได้ ซึ่งเราเรียกว่า problem space

การค้นหาใน problem space ทำได้หลายวิธี ซึ่งได้แก่

การค้นหาทางลึกก่อน (depth first search)
การค้นหาทางกว้างก่อน (breadth first search)

 


ที่มา : รศ. ยืน ภู่วรวรรณ, สำนักบริการคอมพิวเตอร์ มหาวิทยาลัยเกษตรศาสตร์